Khoa Công nghệ Thông tin thông báo lịch đón Sinh viên học GDQP&AN tại cơ sở Văn Giang, Hưng Yên cụ thể như sau:
Thời gian đón sinh viên vào lúc: 08 giờ 15 phút, thứ 2, ngày 08/12/2025
Địa điểm: Trung tâm Văn hóa - Thông tin và Thể thao, ngõ 22 Khuyến Lương, phường Lĩnh Nam, TP Hà Nội.
Sinh viên chuẩn bị các đồ dùng sinh hoạt cá nhân thiết yếu, mang theo quần; áo; chăn sử dụng cho mùa lạnh.
Khi đi nhập học sinh viên mang mặc trang phục lịch sự, đeo thẻ sinh viên, có mặt lúc 07 giờ 45 phút để điểm danh.
Sinh viên hoàn thiện và mang theo bản cam kết sức khỏe theo mẫu: https://docs.google.com/document/d/12e27p1eoKA7VYNRLCCPd9pReJ9cK8vmG/edit?usp=drive_link&ouid=104637887199637940687&rtpof=true&sd=true
Nhận bàn giao sinh viên thầy Điêu Thái Hồng, số điện thoại: 0936896683
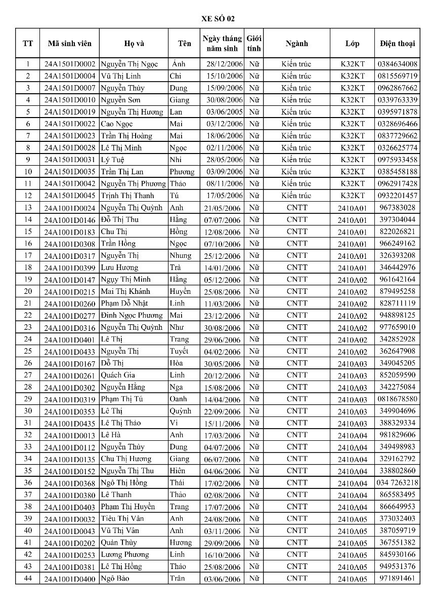
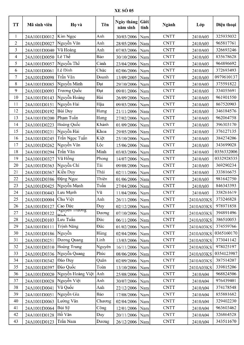
DANH SÁCH PHÂN XE





