Trang chủ Giới thiệu
Sơ đồ tổ chức Hội đồng khoa học Các bộ môn
Ngành Công nghệ Thông tin Thạc sĩ Ngành Công nghệ Thông tin Ngành Tin học ứng dụng Công nghệ Thông tin Tin học ứng dụng Học bổng
Tin tức NCKH Diễn đàn Liên hệ

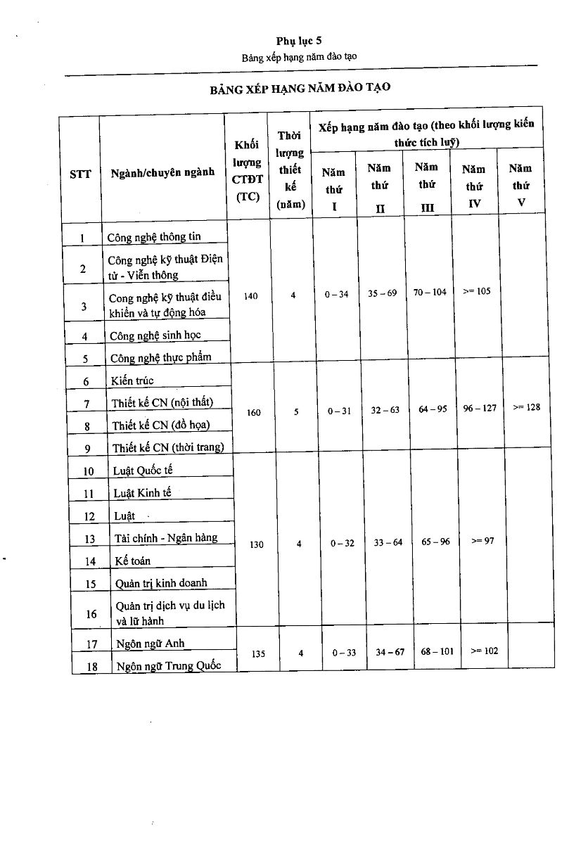
Thông báo Nội dung sửa đổi, bổ sung một số điều của Quy định đào tạo đại học hệ chính quy theo hệ thống tín chỉ tại Đại học Mở Hà Nội

14/12/2018 15:58
(ban hành kèm theo quuyết định số 2828/QĐ-ĐHM ngày 28/08/2018 của Viện trưởng Viện Đại học Mở Hà Nội)
Tags: tín chỉ,

(44619 lần xem)

Share |

Tin liên quan:

  • THÔNG BÁO SỐ 02 V/V Điều chỉnh đăng ký tín chỉ học kỳ II (2025-2026)
  • THÔNG BÁO SỐ 01 v/v Đăng ký tín chỉ học kỳ II (2025-2026)
  • Thông báo số 3: v/v Đăng ký Tín chỉ học kỳ 2 năm học 2024-2025
  • Thông báo số 4 v/v: Cập nhật điều chỉnh tín chỉ hk1 năm học 2024 - 2025
  • THÔNG BÁO SỐ 3 v/v: Mở đăng ký, điều chỉnh các lớp Tín chỉ hk1 năm học 2024-2025
  • Thông báo DS lớp duyệt lần 1 HK1 năm học 2024-2025
  • Thông báo v/v Đăng ký tín chỉ đợt 1 năm học 2024- 2025
  • Thông báo về việc đăng ký điều chỉnh tín chỉ HK3 năm học 2023-2024
  • Thông báo số 3 v/v đăng ký tín chỉ HK3 năm học 2023-2024
  • THÔNG BÁO số 2 v/v đăng ký tín chỉ HK3 năm học 2023-2024

Tin đào tạo

Thông báo Lịch thi, DS thi, phòng thi tiếng Anh cơ bản 2 - Kỹ năng Nói - HK2 năm học 2025-2026
Thông báo Lịch thi, DS thi, phòng thi tiếng Anh cơ bản 2 - Kỹ năng Nói - HK2 năm học 2025-2026
Danh sách phân công Hội đồng Đánh giá A14 đốii với các Đồ án & Khóa luận TN học kỳ 2 năm học 2025-2026
Danh sách phân công Hội đồng Đánh giá A14 đốii với các Đồ án & Khóa luận TN học kỳ 2 năm học 2025-2026
Danh sách, lịch thi môn Tư tưởng HCM và Kinh tế chính trị Mác Lenin HK2 năm học 2025-2026
Danh sách, lịch thi môn Tư tưởng HCM và Kinh tế chính trị Mác Lenin HK2 năm học 2025-2026
Xem thêm

Tuyển dụng

Công ty Cổ phần Chứng khoán FPT (FPTS) tuyển dụng Chuyên Viên Quản Trị Dữ Liệu Oracle làm việc tại trụ sở chính Hà Nội
Công ty Cổ phần Chứng khoán FPT (FPTS) tuyển dụng Chuyên Viên Quản Trị Dữ Liệu Oracle làm việc tại trụ sở chính Hà Nội
Thông báo sinh viên tham gia tạo tài khoản trên Cổng thông tin việc làm của Nhà trường
Thông báo sinh viên tham gia tạo tài khoản trên Cổng thông tin việc làm của Nhà trường
Thông tin doanh nghiệp tuyển dụng sinh viên tốt nghiệp
Thông tin doanh nghiệp tuyển dụng sinh viên tốt nghiệp
Xem thêm

Quy định, biểu mẫu

Hướng dẫn thể thức báo cáo BTL
Hướng dẫn thể thức báo cáo BTL
Quyết định số 2280/QĐ-ĐHM ngày 16/6/2025 của nhà trường v/v ban hành mức thu học phí và các khoản thu khác năm học 2025-2026.
Quyết định số 2280/QĐ-ĐHM ngày 16/6/2025 của nhà trường v/v ban hành mức thu học phí và các khoản thu khác năm học 2025-2026.
Quy chế đào tạo trình độ Đại học của Trường ĐH Mở Hà Nội (kèm theo Quyết định số 1818/QĐ-ĐHM ngày 10/05/2024)
Quy chế đào tạo trình độ Đại học của Trường ĐH Mở Hà Nội (kèm theo Quyết định số 1818/QĐ-ĐHM ngày 10/05/2024)
Xem thêm
LIÊN KẾT TRANG
Website Đại học Mở Hà Nội Forums Sinh viên Thời khóa biểu
GÓC ẢNH
Sinh viên khoá 2012 nhập học Đối thoại 2012
FITHOU@Facebook Phiên bản cũ  Lên đầu trang
Khoa Công nghệ Thông tin - Trường Đại học Mở Hà Nội
Địa chỉ: B101 Nguyễn Hiền - Hai Bà Trưng - Hà Nội
Khu giảng đường: 96 Định Công - Hà Nội
Phát triển & cung cấp bởi
Trung tâm Công nghệ & Dịch vụ trực tuyến (FITHOU OTSC)