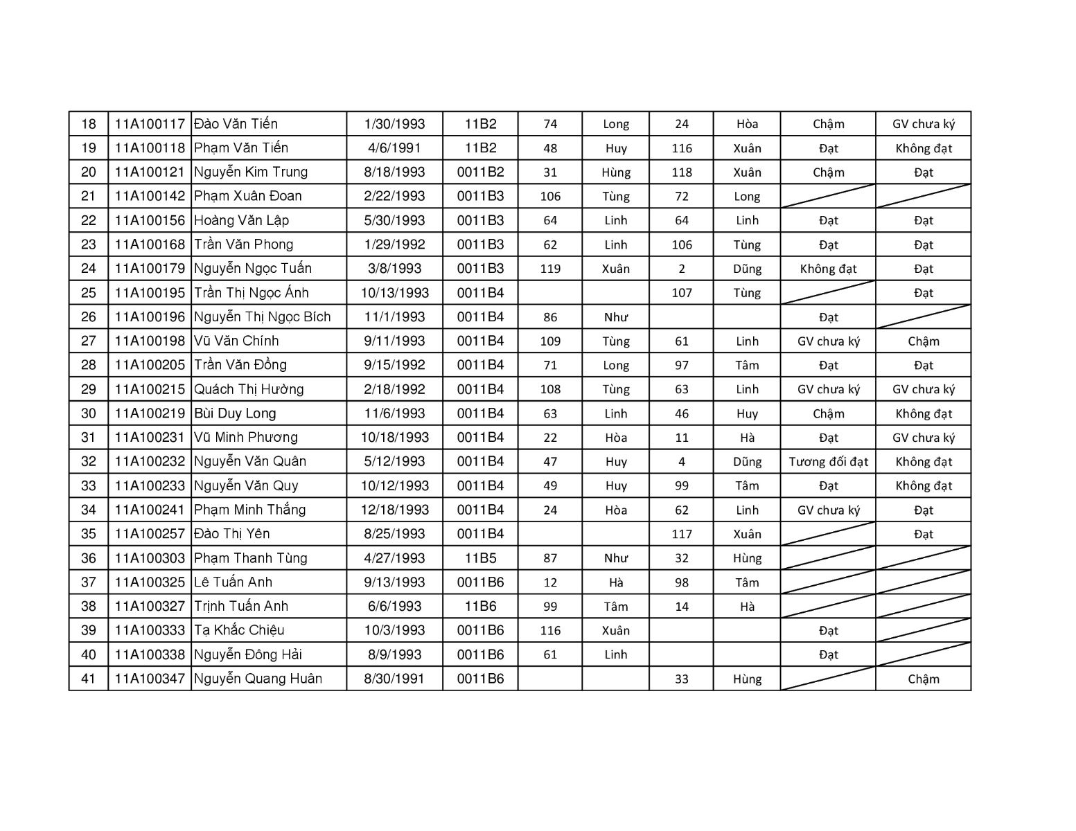
Khoa CNTT thông báo Kết quả thực hiện tiến độ chuyên đề tốt nghiệp lần 2 như sau:
Lưu ý: Khoa cảnh báo những sinh viên không thực hiện theo kế hoạch, yêu cầu các sinh viên này cần hoàn thiện gấp, nếu không sẽ bị xem xét vv không đủ điều kiện bảo vệ đề tài Chuyên đề tốt nghiệp.

.jpg)